Course Content
Physics Practice
0%
0 votes, 0 avg
14

Report a question

You cannot submit an empty report. Please add some details.

Force and Motion Practice 2

Force and Motion: Practice Part 2
Number of MCQs: 31
Difficulty Level: High

Type Your Name

1 / 30

Category: Force & Motion Topical (FAM)

A body is thrown horizontally with a velocity √(2gh)

from the top of a tower of height h. It strikes the level ground through the foot of the tower at a distance x from the tower. The value of x is:

2 / 30

Category: Force & Motion Topical (FAM)

A body projected with velocity u with an angle of projection θ . Change in velocity after the time (t) from the projection is:

3 / 30

Category: Force & Motion Topical (FAM)

What determines the nature of the path followed by the particle?

4 / 30

Category: Force & Motion Topical (FAM)

A bullet is fired with a speed of 1000  m/sec in order to hit a target 100 away. If  g=10  m/s2 the gun should be aimed:

5 / 30

Category: Force & Motion Topical (FAM)

A particle moves in a circular path with decreasing speed. Choose the correct statement

6 / 30

Category: Force & Motion Topical (FAM)

A stone is just released from the window of a train moving along a horizontal straight track. The stone will hit the ground following

7 / 30

Category: Force & Motion Topical (FAM)

A bomb is dropped from an aeroplane moving horizontally at constant speed. When air resistance is taken into consideration, the bomb 

8 / 30

Category: Force & Motion Topical (FAM)

A projectile fired with initial velocity u at some angle θ has a range R. If the initial velocity be doubled at the same angle of projection, then the range will be

9 / 30

Category: Force & Motion Topical (FAM)

If the initial velocity of a projectile be doubled, keeping the angle of projection same, the maximum height reached by it will

10 / 30

Category: Force & Motion Topical (FAM)

In the motion of a projectile freely under gravity, its

11 / 30

Category: Force & Motion Topical (FAM)

The range of a projectile for a given initial velocity is maximum when the angle of projection is 45°. The range will be minimum, if the angle of projection is

12 / 30

Category: Force & Motion Topical (FAM)

An object is thrown along a direction inclined at an angle of 45 with the horizontal direction. The horizontal range of the particle is equal to

13 / 30

Category: Force & Motion Topical (FAM)

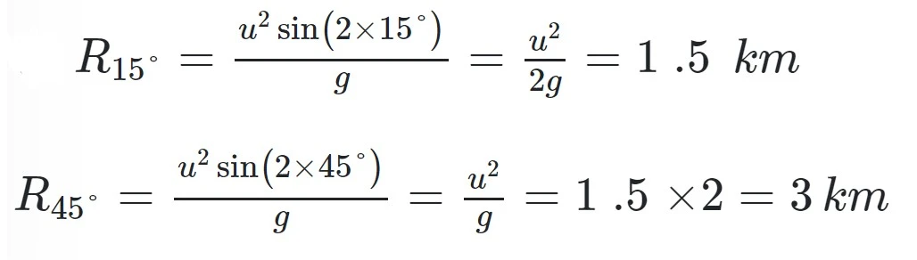
The range of a particle when launched at an angle of 15° with the horizontal is 1.5 km. What is the range of the projectile when launched at an angle of 45° to the horizontal 

14 / 30

Category: Force & Motion Topical (FAM)

A projectile thrown with a speed v at an angle θ has a range R on the surface of earth. For same v and θ, its range on the surface of moon will be (acceleration due to gravity on moon= g/6

15 / 30

Category: Force & Motion Topical (FAM)

A ball is projected with kinetic energy at an angle of 45° to the horizontal. At the highest point during its flight, its kinetic energy will be 

16 / 30

Category: Force & Motion Topical (FAM)

At the top of the trajectory of a projectile, the magnitude of the acceleration is

17 / 30

Category: Force & Motion Topical (FAM)

Two bodies are projected with the same velocity. If one is projected at an angle of 30° and the other at an angle of 60° to the horizontal, the ratio of the maximum heights reached is

18 / 30

Category: Force & Motion Topical (FAM)

Which of the following sets of factors will affect the horizontal distance covered by an athlete in a long–jump event

19 / 30

Category: Force & Motion Topical (FAM)

In a projectile motion, velocity at maximum height is 

20 / 30

Category: Force & Motion Topical (FAM)

A ball is projected with velocity v0 at an angle of elevation 30°. Mark the correct statement.

21 / 30

Category: Force & Motion Topical (FAM)

Neglecting the air resistance, the time of flight of a projectile is determined by:

22 / 30

Category: Force & Motion Topical (FAM)

The velocity of a projectile at the initial point of projection is (2i + 3j) m/s. Its velocity (in m/s) at landing point  is:

23 / 30

Category: Force & Motion Topical (FAM)

The speed of a projectile at its maximum height is half of its initial speed. The angle of projection is:

24 / 30

Category: Force & Motion Topical (FAM)

A bomb is dropped from an aeroplane flying horizontally. The path of the bomb as seen by the pilot will be (neglect air friction)

25 / 30

Category: Force & Motion Topical (FAM)

In projectile motion, accelerations of the projectile when it is gaining height and losing height respectively are

26 / 30

Category: Force & Motion Topical (FAM)

Path of a projectile as seen from another projectile :

27 / 30

Category: Force & Motion Topical (FAM)

The horizontal range of a particle thrown from the ground is four times the maximum height. The angle of projection with the vertical is:

28 / 30

Category: Force & Motion Topical (FAM)

At the highest point of trajectory in the ground to the ground projectile, the angle between gravitational acceleration and momentum is

29 / 30

Category: Force & Motion Topical (FAM)

Galileo, in his book Two new sciencesstated that for elevations that exceed or fall short of 45° by equal amounts, the ranges?

30 / 30

Category: Force & Motion Topical (FAM)

A moves with 65 km/h while B is coming back of A with 80 km/h. The relative velocity of B with respect to A is 

Your score is

The average score is 67%

0%

You must log in to see your results.

Pos.NameScoreDuration
1Lailma shah P397 %4 minutes 52 seconds
2Mehrunisah p390 %4 minutes 15 seconds
3junaid iqbal P190 %6 minutes 38 seconds
4Maryam gul p380 %26 minutes 41 seconds
5Muhammad Mehran p377 %29 minutes 18 seconds
6Imdad Ullah p177 %38 minutes 28 seconds
7Muhammad p273 %59 minutes 12 seconds
8Ansa Gul p367 %27 minutes 6 seconds
9Hiba shah p163 %19 minutes 19 seconds
10Jumaina Tariq p263 %22 minutes 5 seconds
11Waleeja p260 %9 minutes 35 seconds
12Laiba Raza p160 %50 minutes 49 seconds
0% Complete
Course
Results
TIPS
×

Select Folder

☀️ ☀️ 🌙